N’en déplaise à la religion libérale, une grande partie de nos actes et pensés s’opère de manière automatique et sans le moindre consentement.
Tout cela se manifeste par des « biais » qui font que par exemple, encore aujourd’hui, on associe plus les hommes à des carrières scientifiques et les femmes à des activités familiales ou artistiques (Nosek et Banajo, 2002). Si vous en avez le courage, regardez donc les pubs télévisées pour voir qui cuisine et nettoie les fonds de cuvettes…
Dans le même registre, même si nous prétendons explicitement être non racistes, des études montrent qu’implicitement, nous avons tendance à associer les membres des ethnies différentes à des éléments négatifs (Greenwald et al. , 1998).
Ce réflexe d’appréhension peut tenir du fait que nous n’avons pas « d’entraînement » à traiter des visages d’une ethnie différente. « Comment arrive-t-il à se différencier ces ‘x’ ? » Où ‘x’ est : asiatique, blanc, noir, etc. Cet effet est d’ailleurs documenté en recherche et on l’a appelé « l’effet d’autres races » (other-race effect, ORE). Comme souvent chez l’humain, cet effet semble plus tenir de l’apprentissage que de l’inné. Ainsi, on a observé chez des enfants de 3 mois, qu’il y avait une nette préférence pour l’observation du visage de la même ethnie que celle de leurs parents par rapport à une autre ethnie. Toujours dans cette expérience, on a constaté que les enfants noirs adoptés par des caucasiens manifestaient une préférence pour les visages caucasiens (Bar-Haim et al., 2006).
Au vu de ces informations, une équipe de chercheurs regroupée autour de Sophie Lebrecht de l’Université de Providence (U.S), émit l’hypothèse que ce reflex d’appréhension raciale, pouvait être modifié par un entraînement à différencier les visages d’une autre « race ».
a) Pour tester leur théorie l’équipe mesura d’abord le niveau de base de « biais racial » des participants, en utilisant le protocole suivant. Des visages puis des chaînes de lettres étaient présentées, ces chaînes devaient être jugées comme étant valide ou non. Certaines chaînes représentaient des mots sémantiquement positifs ou négatifs. L’idée ici, est que s’il y a une congruence entre l’appréhension personnelle et la chaîne de caractères, la réponse est plus rapide que s’il y a incongruence.
b) Ensuite, on constitua deux groupes de sujets caucasiens, selon deux conditions expérimentales. Un groupe était entraîné à différencier des visages d’individus noirs, l’autre groupe devait catégoriser les visages comme étant ceux de noirs ou d’asiatiques.
c) Enfin, les participants effectuaient à nouveau le premier test, si l’hypothèse des chercheurs s’avérait juste, alors le groupe ayant bénéficié d’un entraînement à la discrimination des visages allait voir son score « d’effet d’autres races » se réduire ainsi que son biais racial.

Schéma des différentes étapes de l’expérience. Avec a) évaluation du biais raciale. b) entrainement à la discrimination des visages en associant les visages de noirs à des lettres. et c) test de l’apprentissage.
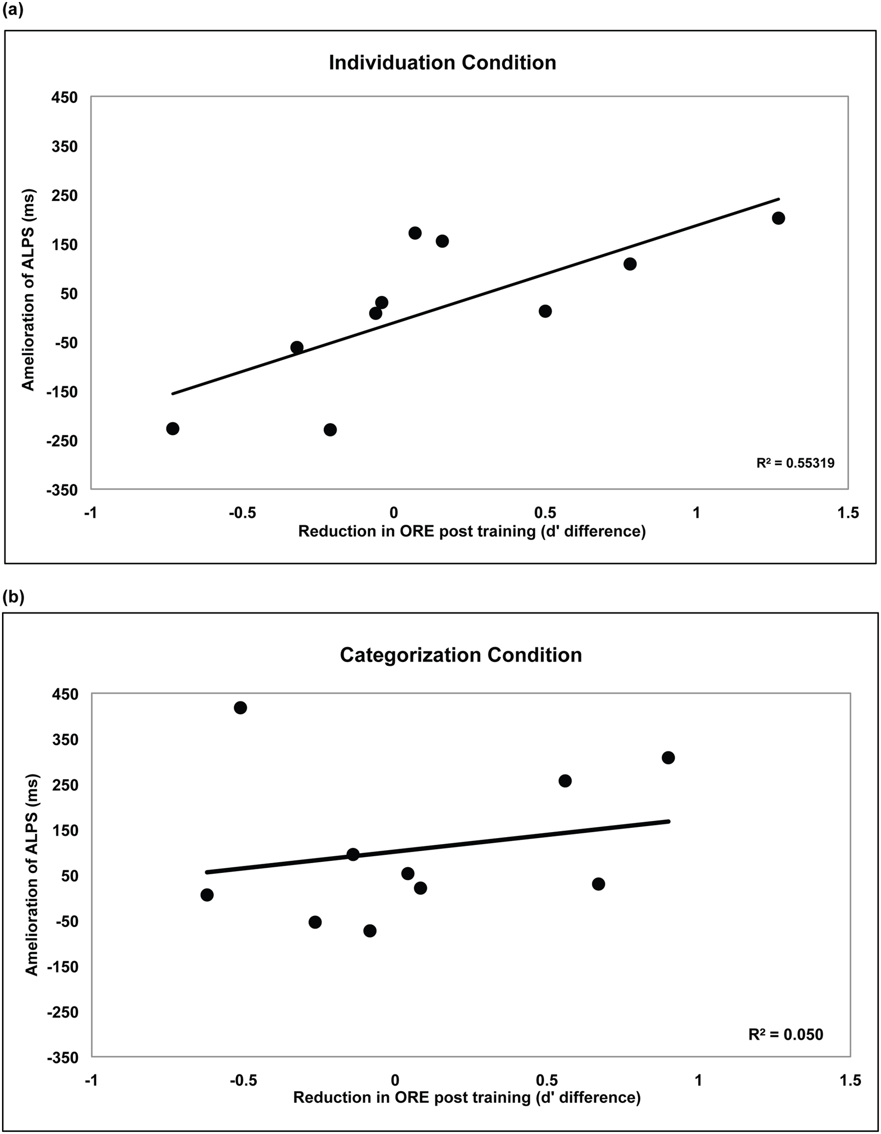
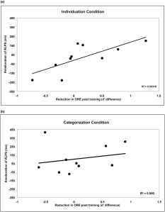
Le groupe qui s’est entraîné à différencier les visages de noirs a vu son score d’ORE et de biais racial changer significativement. Changement qu’on ne constate pas statistiquement, pour l’autre groupe, confirmant ainsi l’hypothèse de départ.

Evolution des scores d’ORE et de biais racial (ALPS) pour les groupes s’étant entrainé à discriminer (individuation condition) ou à catégoriser (categorization condition).
Cette étude apporte d’autres éléments montrant la malléabilité de l’esprit humain. La plasticité cérébrale reste largement à l’œuvre dans notre cerveau, mais les conditions de son plein fonctionnement doivent être comprises pour pouvoir l’utiliser.
Le racisme semble donc naître, du moins en partie, d’une sous-exposition à la diversité ethnique de l’espèce humaine, peut être particulièrement dans la période de la petite enfance. C’est pour cela qu’il apparaît comme catastrophique dans une société multi-ethnique qu’on assiste à une ghettoïsation des quartiers ou des écoles.
Les médias culturels, peuvent également jouer un rôle dans notre capacité à ne pas considérer celui/celle qui est différent comme un autre. Si tenté bien sûr qu’on n’a pas des productions culturelles avec un « effet schtroumfette », à savoir un seul représentant du groupe ‘x’. L’arabe ou le noir de service pour être clair, sera identifié au prototype noir et n’améliorera pas la capacité de différenciation des noirs et des arabes entre eux.
Les quotas ethniques, la carte scolaire (trop facilement contourné), mesures si polémiques, seraient peut-être une solution pour créer les bonnes conditions de coexistences des individus dans une société « multiraciale ». En tout cas, ne pas se croiser au point de ne plus pouvoir se différencier ne réglera certainement pas les biais irrationnels et inconscients qui sont aux commandes des individus qui les nient.









